| Группа 5130901/10202 |
Вариант |
Задание 1 |
Задание 2 |
Задание 3, часть 1 |
Задание 3, часть 2 |
Задание 4, часть 1 |
Задание 4, часть 2 |
Задание 5 |
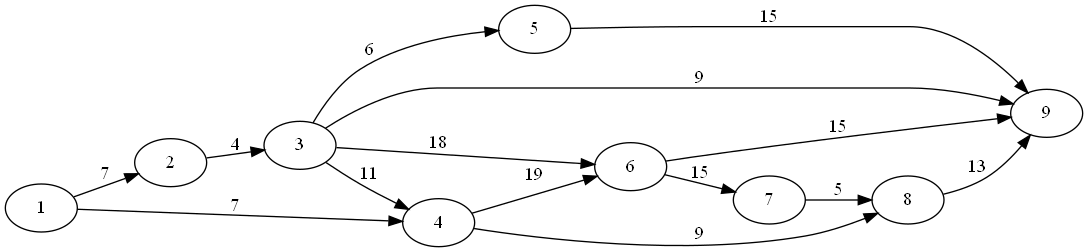
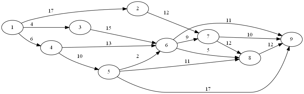
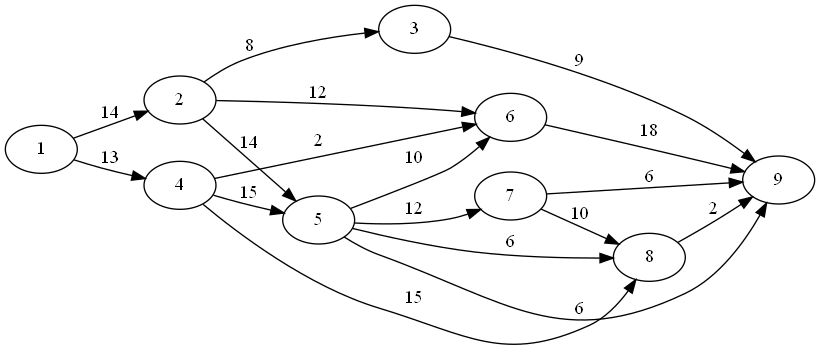
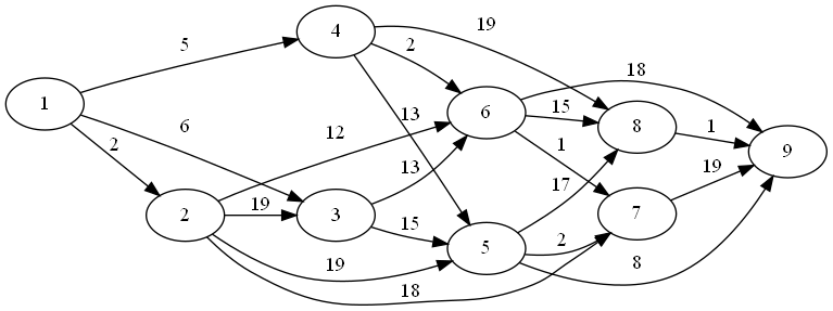
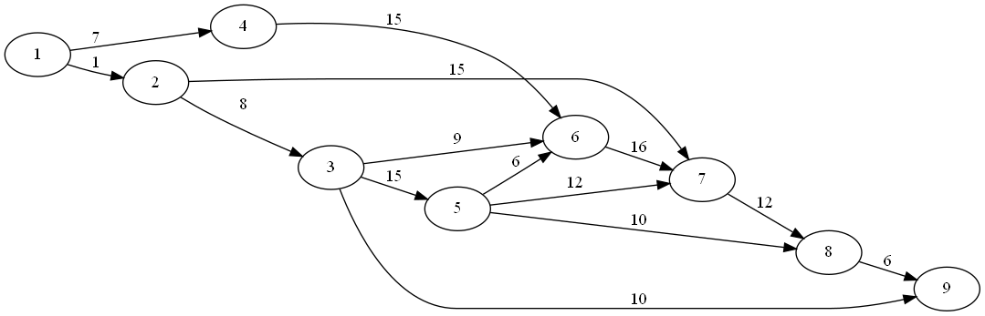
| 1. Алифанова Анастасия | 1 | Граф 215 | 1 | 2-1 | 81-1 | 1 | 1 | A |
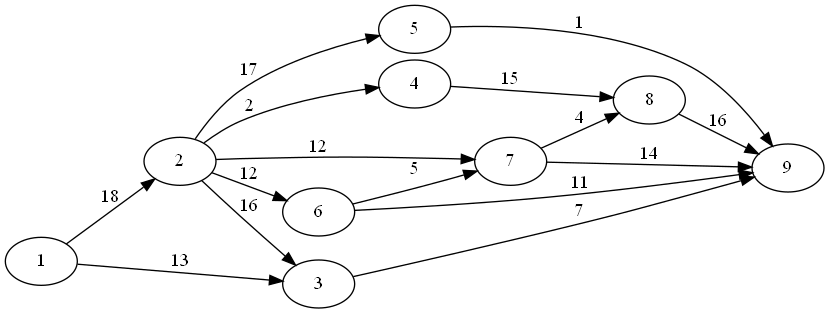
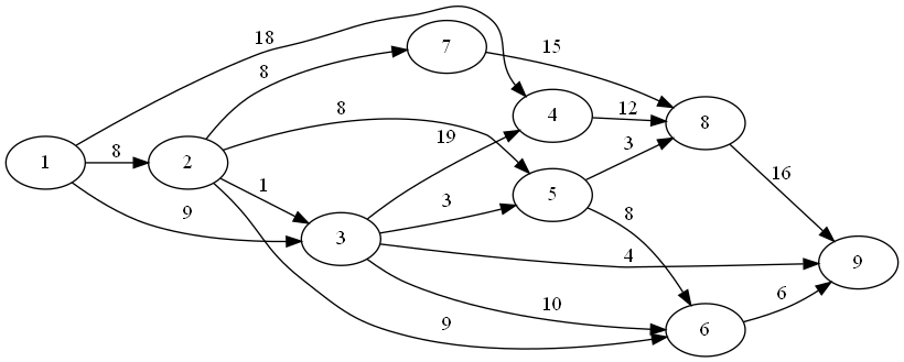
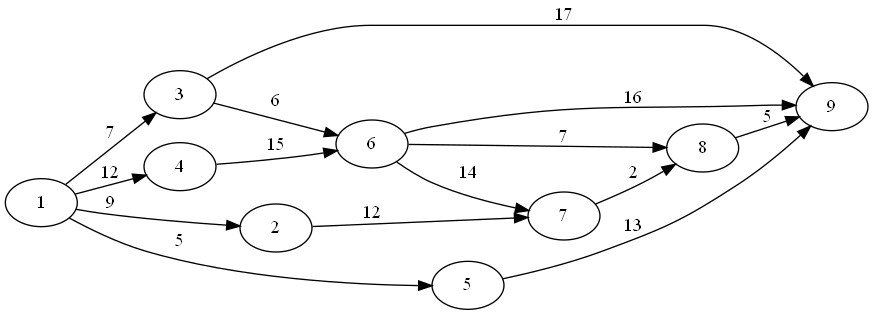
| 2. Бахтина Светлана | 2 | Граф 216 | 2 | С-1 | 82-1 | 2 | 2 | A |
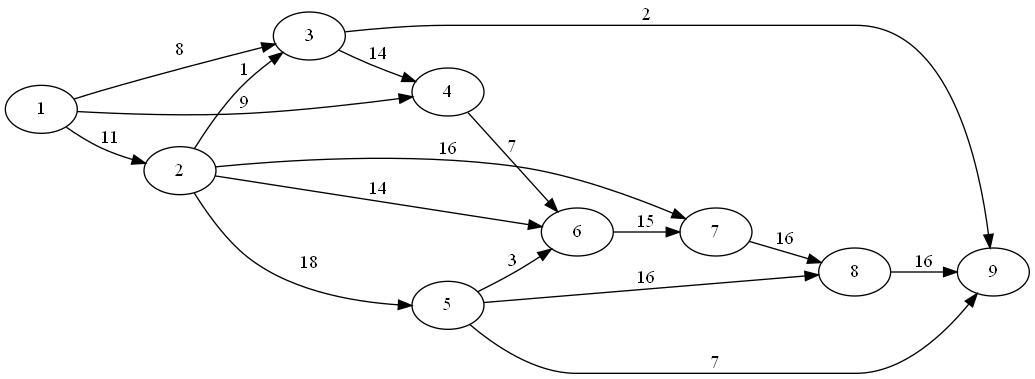
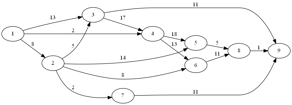
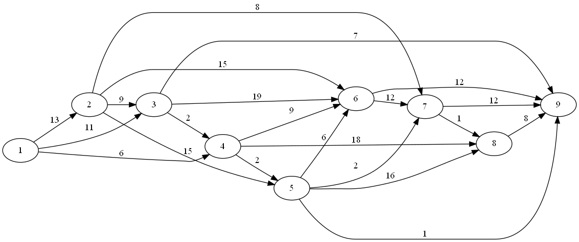
| 3. Бондаренко Егор | 3 | Граф 217 | 3 | А17А-1 | 20-1 | 3 | 3 | A |
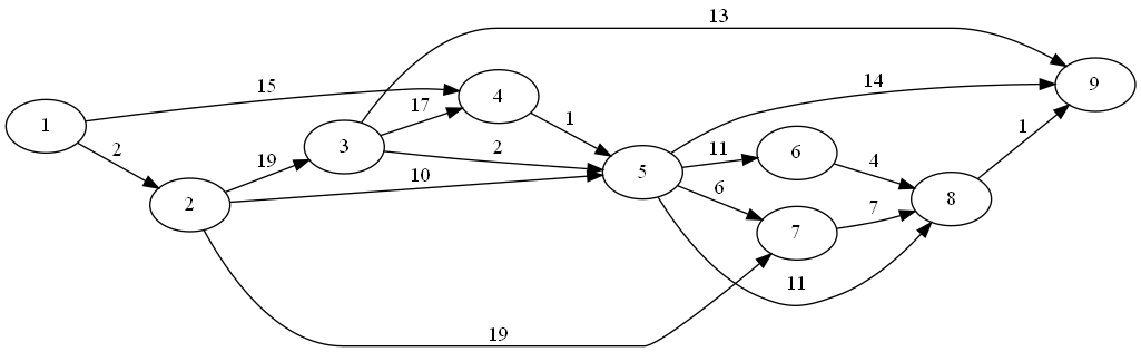
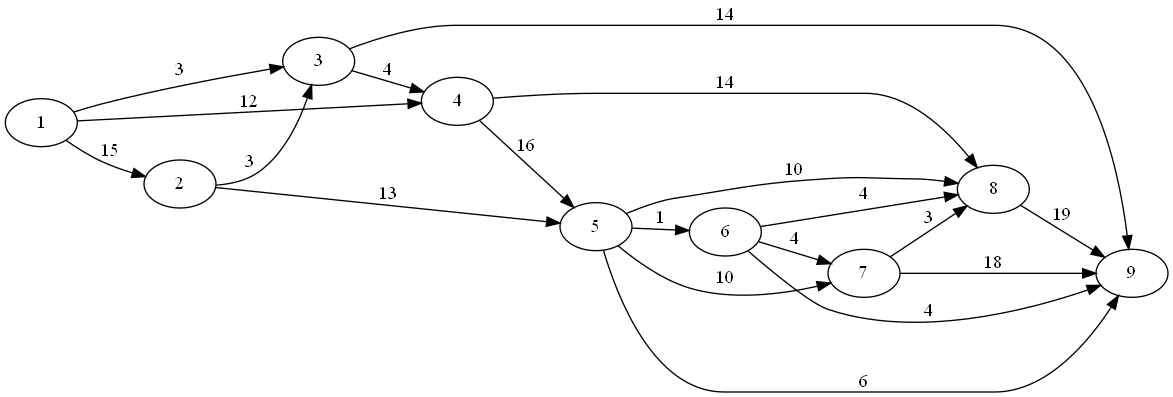
| 4. Боронин Дмитрий | 4 | Граф 218 | 4 | А17Б-1 | 83-1 | 4 | 4 | Б |
| 5. Бурнашев Альмир | 5 | Граф 219 | 5 | Т5-1 | 84-1 | 5 | 5 | Б |
| 6. Гайнутдинов Марат | 6 | Граф 220 | 6 | АС9-1 | 82-9 | 6 | 6 | Б |
| 7. Герасимова Елизавета | 7 | Граф 221 | 7 | Р14-1 | Т17-654-1 | 7 | 7 | В |
| 8. Гогоберидзе Андрей | 8 | Граф 222 | 8 | Р15А-1 | Т17-655-1 | 8 | 8 | В |
| 9. Горбук Максим | 9 | Граф 223 | 9 | Р15Б-1 | Т17-658А-1 | 9 | 9 | Б |
| 10. Горьков Никита | 10 | Граф 224 | 10 | 2-2 | 84-7 | 10 | 10 | A |
| 11. Гусев Михаил | 11 | Граф 225 | 11 | С-2 | Т17-658В-1 | 11 | 11 | A |
| 12. Давыдов Александр | 12 | Граф 226 | 12 | А17А-2 | 81-2 | 12 | 12 | A |
| 13. Дюков Никита | 13 | Граф 227 | 13 | А17Б-2 | 82-2 | 13 | 13 | Б |
| 14. Еремин Михаил | 14 | Граф 228 | 14 | Т5-2 | 20-2 | 14 | 14 | Б |
| 15. Жуков Илья | 15 | Граф 229 | 15 | АС9-2 | 83-2 | 15 | 15 | В |
| 16. Згировский Кирилл | 16 | Граф 230 | 16 | Р14-2 | 84-2 | 16 | 16 | В |
| 17. Зезина Кристина | 17 | Граф 231 | 17 | Р15А-2 | 84-9 | 17 | 17 | Б |
| 18. Казанцев Илья | 18 | Граф 232 | 18 | Р15Б-2 | Т17-654-2 | 18 | 18 | Б |
| 19. Карженкова Виктория | 19 | Граф 233 | 19 | 2-5 | Т17-655-2 | 19 | 19 | A |
| 20. Коваленко Анна | 20 | Граф 234 | 20 | С-5 | Т17-658А-2 | 20 | 20 | A |
| 21. Козяков Данил | 21 | Граф 235 | 21 | Т5-5 | 81-8 | 21 | 21 | Б |
| 22. Кушнеров Даниил | 22 | Граф 236 | 22 | АС9-5 | Т17-658В-2 | 22 | 22 | В |
| 23. Лутчак Андрей | 23 | Граф 237 | 23 | 38-1 | 81-5 | 23 | 23 | В |
| 24. Мацыгорова Екатерина | 24 | Граф 238 | 24 | 38-2 | 82-5 | 24 | 24 | Б |
| 25. Нестеренко Сергей | 25 | Граф 239 | 25 | 2-7 | 20-5 | 25 | 25 | A |
| 26. Обухова Кристина | 26 | Граф 240 | 26 | С-7 | 83-5 | 26 | 26 | A |
| 27. Плеханов Артём | 27 | Граф 241 | 27 | АС9-7 | 84-5 | 27 | 27 | Б |
| 28. Романихина Мария | 28 | Граф 242 | 28 | 2-8 | Т17-654-5 | 28 | 28 | A |
| 29. Самохвалова Полина | 29 | Граф 243 | 29 | С-8 | Т17-655-5 | 29 | 29 | A |
| 30. Шаров Матвей | 30 | Граф 244 | 30 | АС9-8 | 81-7 | 30 | 30 | Б |
| 31. Шумилов Илья | 31 | Граф 245 | 31 | 2-9 | 82-7 | 31 | 31 | A |
| Группа 5130901/10203 |
Вариант |
Задание 1 |
Задание 2 |
Задание 3, часть 1 |
Задание 3, часть 2 |
Задание 4, часть 1 |
Задание 4, часть 2 |
Задание 5 |
| 1. Александров Степан | 32 | Граф 246 | 32 | 2-3 | 81-3 | 32 | 32 | A |
| 2. Баранова Алина | 33 | Граф 247 | 33 | С-3 | 82-3 | 33 | 33 | A |
| 3. Воробьёв Глеб | 34 | Граф 248 | 34 | А17А-3 | 20-3 | 34 | 34 | A |
| 4. Высоцкий Александр | 35 | Граф 249 | 1 | А17Б-3 | 83-3 | 35 | 35 | Б |
| 5. Горчатов Валентин | 36 | Граф 250 | 2 | Т5-3 | 84-3 | 36 | 36 | Б |
| 6. Горчатов Родион | 37 | Граф 251 | 3 | АС9-3 | 81-10 | 37 | 37 | Б |
| 7. Елохов Константин | 38 | Граф 252 | 4 | Р14-3 | Т17-654-3 | 38 | 38 | В |
| 8. Зыбин Егор | 39 | Граф 253 | 5 | Р15А-3 | Т17-655-3 | 39 | 39 | В |
| 9. Кудрин Фёдор | 40 | Граф 254 | 6 | Р15Б-3 | Т17-658А-3 | 40 | 40 | Б |
| 10. Кульченко Злата | 41 | Граф 255 | 7 | 2-4 | 82-8 | 41 | 41 | A |
| 11. Лучер Дмитрий | 42 | Граф 256 | 8 | С-4 | Т17-658В-3 | 42 | 42 | A |
| 12. Максименко Артём | 43 | Граф 257 | 9 | А17А-4 | 81-4 | 43 | 43 | A |
| 13. Мукий Сергей | 44 | Граф 258 | 10 | А17Б-4 | 82-4 | 44 | 44 | Б |
| 14. Назаров Тимур | 45 | Граф 259 | 11 | Т5-4 | 20-4 | 45 | 45 | Б |
| 15. Смердов Максим | 46 | Граф 260 | 12 | АС9-4 | 83-4 | 46 | 46 | В |
| 16. Смирнов Даниил | 47 | Граф 261 | 13 | Р14-4 | 84-4 | 47 | 47 | В |
| 17. Соболев Павел | 48 | Граф 262 | 14 | 38-3 | 82-10 | 48 | 48 | Б |
| 18. Сулейманов Кирилл | 49 | Граф 263 | 15 | 38-4 | Т17-654-4 | 49 | 49 | Б |
| 19. Томилов Матвей | 50 | Граф 264 | 16 | 2-6 | Т17-655-4 | 50 | 50 | A |
| 20. Томилова Мария | 51 | Граф 265 | 17 | С-6 | Т17-658А-4 | 51 | 51 | A |
| 21. Хусейнзода Амир | 52 | Граф 266 | 18 | Т5-6 | 84-8 | 52 | 52 | Б |
| 22. Штанько Никита | 53 | Граф 267 | 19 | АС9-6 | Т17-658В-4 | 53 | 53 | В |
| 23. Шукурова Эльвина | 54 | Граф 268 | 20 | АС9-10 | 81-6 | 54 | 54 | В |
| 24. Яковенко Валентина | 55 | Граф 269 | 21 | 2-11 | 82-6 | 55 | 55 | A |
| 25. Брык Даниил | 56 | Граф 270 | 22 | С-9 | 20-6 | 56 | 56 | A |
| 26. Кашин Всеволод | 57 | Граф 271 | 23 | АС9-9 | 84-6 | 57 | 57 | Б |
| |
Вариант |
Задание 1 |
Задание 2 |
Задание 3, часть 1 |
Задание 3, часть 2 |
Задание 4, часть 1 |
Задание 4, часть 2 |
Задание 5 |
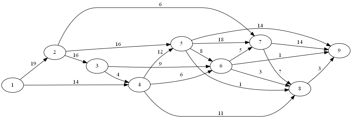
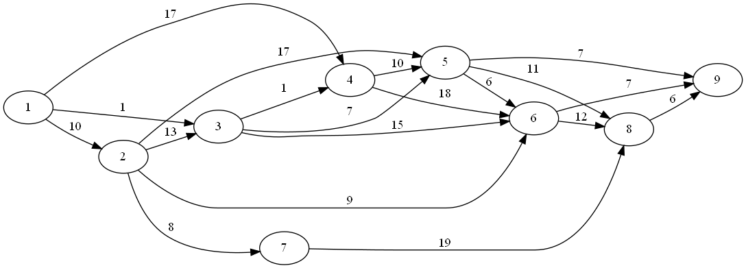
| Горяинов Дмитрий | 58 | Граф 186 | 24 | 2-10 | Т17-654-6 | 58 | 58 | А |
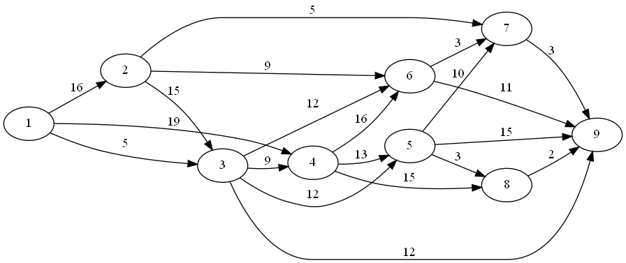
| Терехов Богдан | 59 | Граф 272 | 25 | С-10 | Т17-655-6 | 59 | 59 | А |
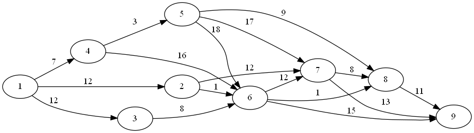
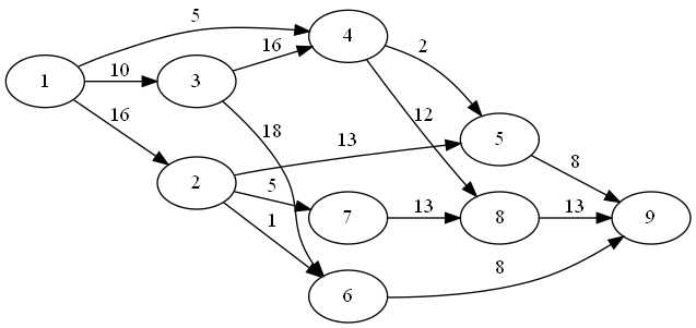
| Ласкарев Арсений | 60 | Граф 170 | 26 | АС9-11 | 81-9 | 60 | 60 | Б |
| Расчетные задания | | График сдачи (даты X) |
| №1 | Теория расписаний | 11.03.2025 |
| №2 | Построение марковских процессов и моделей задач в терминах теории массового обслуживания | 25.03.2025 |
| №3, часть 1 | Системы массового обслуживания | 15.04.2025 |
| №3, часть 2 | Системы массового обслуживания | 15.04.2025 |
| №4, часть 1 | Разомкнутые сети массового обслуживания | 12.05.2025 |
| №4, часть 2 | Замкнутые сети массового обслуживания | 12.05.2025 |
| №5 | Моделирование систем и сетей массового обслуживания | 19.05.2025 |
Данные для задания 1:
Вариант 1: n = 2, w = 0.5, g = 5%, v = 13%
Вариант 2: n = 2, w = 0.7, g = 10%, v = 12%
Вариант 3: n = 2, w = 0.5, g = 10%, v = 15%
Вариант 4: n = 3, w = 0.6, g = 6%, v = 10%
Вариант 5: n = 2, w = 0.5, g = 5%, v = 18%
Вариант 6: n = 3, w = 0.6, g = 5%, v = 17%
Вариант 7: n = 3, w = 0.7, g = 7%, v = 11%
Вариант 8: n = 2, w = 0.4, g = 10%, v = 19%
Вариант 9: n = 3, w = 0.5, g = 8%, v = 16%
Вариант 10: n = 2, w = 0.5, g = 7%, v = 16%
Вариант 11: n = 3, w = 0.8, g = 9%, v = 15%
Вариант 12: n = 3, w = 0.7, g = 5%, v = 11%
Вариант 13: n = 2, w = 0.6, g = 10%, v = 12%
Вариант 14: n = 2, w = 0.7, g = 9%, v = 17%
Вариант 15: n = 3, w = 0.7, g = 9%, v = 19%
Вариант 16: n = 2, w = 0.6, g = 5%, v = 13%
Вариант 17: n = 3, w = 0.8, g = 10%, v = 18%
Вариант 18: n = 3, w = 0.6, g = 6%, v = 19%
Вариант 19: n = 3, w = 0.8, g = 8%, v = 17%
Вариант 20: n = 3, w = 0.7, g = 5%, v = 14%
Вариант 21: n = 3, w = 0.6, g = 9%, v = 19%
Вариант 22: n = 3, w = 0.5, g = 10%, v = 12%
Вариант 23: n = 3, w = 0.5, g = 7%, v = 18%
Вариант 24: n = 2, w = 0.4, g = 8%, v = 10%
Вариант 25: n = 2, w = 0.6, g = 8%, v = 12%
Вариант 26: n = 3, w = 0.4, g = 9%, v = 19%
Вариант 27: n = 3, w = 0.8, g = 8%, v = 19%
Вариант 28: n = 2, w = 0.4, g = 9%, v = 10%
Вариант 29: n = 3, w = 0.6, g = 10%, v = 12%
Вариант 30: n = 2, w = 0.7, g = 9%, v = 16%
Вариант 31: n = 3, w = 0.7, g = 9%, v = 13%
Вариант 32: n = 3, w = 0.4, g = 10%, v = 10%
Вариант 33: n = 3, w = 0.4, g = 7%, v = 16%
Вариант 34: n = 2, w = 0.7, g = 8%, v = 16%
Вариант 35: n = 3, w = 0.6, g = 5%, v = 13%
Вариант 36: n = 3, w = 0.8, g = 7%, v = 16%
Вариант 37: n = 2, w = 0.8, g = 10%, v = 11%
Вариант 38: n = 3, w = 0.8, g = 7%, v = 13%
Вариант 39: n = 3, w = 0.5, g = 5%, v = 12%
Вариант 40: n = 2, w = 0.7, g = 10%, v = 11%
Вариант 41: n = 3, w = 0.4, g = 8%, v = 10%
Вариант 42: n = 2, w = 0.4, g = 10%, v = 14%
Вариант 43: n = 3, w = 0.6, g = 8%, v = 14%
Вариант 44: n = 3, w = 0.7, g = 7%, v = 10%
Вариант 45: n = 3, w = 0.8, g = 5%, v = 18%
Вариант 46: n = 2, w = 0.6, g = 9%, v = 11%
Вариант 47: n = 3, w = 0.8, g = 8%, v = 17%
Вариант 48: n = 3, w = 0.8, g = 9%, v = 18%
Вариант 49: n = 2, w = 0.7, g = 8%, v = 18%
Вариант 50: n = 2, w = 0.6, g = 9%, v = 18%
Вариант 51: n = 3, w = 0.7, g = 5%, v = 10%
Вариант 52: n = 2, w = 0.6, g = 10%, v = 16%
Вариант 53: n = 3, w = 0.4, g = 9%, v = 17%
Вариант 54: n = 3, w = 0.5, g = 5%, v = 17%
Вариант 55: n = 3, w = 0.8, g = 9%, v = 10%
Вариант 56: n = 3, w = 0.7, g = 9%, v = 19%
Вариант 57: n = 3, w = 0.7, g = 7%, v = 10%
Вариант 58: n = 2, w = 0.4, g = 10%, v = 17%
Вариант 59: n = 2, w = 0.6, g = 6%, v = 18%
Вариант 60: n = 3, w = 0.8, g = 6%, v = 15%